Home page

  • Ethics 101 - Part 1 of 5 (Background and Learning…

    Ethics 101 for Professional Engineers and SurveyorsPart 1 of 5: Background and Learning Objectives (04:45) USAGE NOTICE: These materials are the exclusive property of…

    From Brent K Jesiek

    3 plays 0  
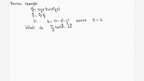
  • Spring 2026 - MA261 - Sunkula (8:30)

    From Mahesh Sunkula

    97 plays 0  
  • Spring 2026 - MA303 - Chen (8:30)

    X-EXTRON-LAYOUT-PRESET:9

    From Kuan-hua J Chen

    1 plays 0  
  • LON-CAPA Overview

    This video tutorial will answer basic questions about logging in, navigating course content, setting user preferences, and viewing embedded video.

    From Geoffrey Crego

    2,707 plays 0  
  • Week 01 - Hand Sketching Lecture

    From Travis J Fuerst

    3,250 plays 0  
  • Geometric Primitives

    From Esteban Garcia

    828 plays 0