Most Recent
-
X-EXTRON-LAYOUT-PRESET:9
Spring 2026 - MA303 - Chen (8:30)
From Kuan-hua J Chen
0 plays 0 -
Spring 2026 - MA261 - Sunkula (8:30)
From Mahesh Sunkula
0 plays 0 -
X-EXTRON-LAYOUT-PRESET:9
Spring 2026 - MA303 - Chen (7:30)
From Kuan-hua J Chen
0 plays 0 -
Spring 2026 - ANSC102 - Nicholls (8:30)
From Griffin Nicholls
11 plays 0 -
March 5, 2026: Smart Accessibility: ADA…
From JD Weagley
1 plays 0 -
We see that elementary row operations can be implemented by matrix multiplication and then we explain how performing the Gaussian elimination algorithm on a matrix…
Lecture 21 Recording
From Colleen Delaney
11 plays 0 -
X-EXTRON-LAYOUT-PRESET:9
Spring 2026 - MA303 - Chen (8:30)
From Kuan-hua J Chen
4 plays 0 -
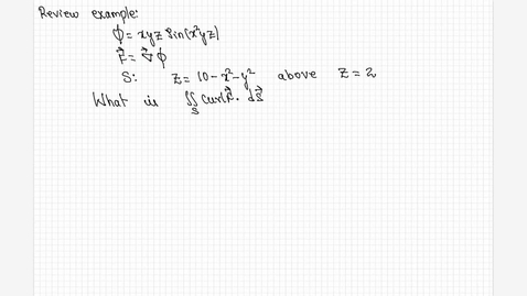
Spring 2026 - MA261 - Sunkula (8:30)
From Mahesh Sunkula
74 plays 0 -
X-EXTRON-LAYOUT-PRESET:9
Spring 2026 - MA303 - Chen (7:30)
From Kuan-hua J Chen
6 plays 0 -
X-EXTRON-LAYOUT-PRESET:9
Spring 2026 - MA303 - Chen (8:30)
From Kuan-hua J Chen
6 plays 0